नगर पालिकाओं में भी प्रशासक नियुक्त

नगर पालिकाओं में भी प्रशासक नियुक्त

 

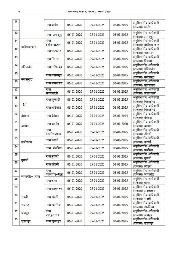
रायपुर खबर योद्धा विद्या भूषण दुबे।। छत्तीसगढ़ में नगर निगम के प्रशासक की नियुक्ति के बाद अब प्रदेश के 47 नगर पालिका में भी प्रशासक नियुक्त करने के आदेश जारी किया गया हैं. यह आदेश नगरीय प्रशासन एवं विकास विभाग मंत्रालय महानदी भवन रायपुर अटल नगर से जारी हुआ है. मंत्रालय से जारी आदेश के मुताबिक, अलग अलग तिथियों में नगर पालिका के कार्यकाल समाप्त होते ही प्रशासकों के रूप में SDM (अनुविभागीय अधिकारी राजस्व) की नियुक्ति हो जाएगी ।

 

   इस आदेश के मुताबिक, अलग-अलग जिलों के सब डिवीजन में प्रशासक 4, 6 और 7 जनवरी से जिम्मेदारी संभालेंगे।

 इससे पहले 10 निगमों के लिए प्रशासक नियुक्त किए गए थे। रायपुर नगर निगम के प्रशासक रायपुर के कलेक्टर होंगे। इसी तरह नगर निगम राजनांदगांव, बस्तर, बिलासपुर, धमतरी, दुर्ग, रायगढ़, मनेंद्रगढ़-भरतपुर- चिरमिरी, अंबिकापुर और कोरबा के लिए भी कलेक्टर प्रशासक बनाए गए हैं। इसे लेकर भी आदेश जारी किया गया है।

 

जितेन्द्र राज नामदेव

एडिटर इन चीफ - खबर योद्धा

error: Content is protected !!